eyc-tech AFMS-160+PHM33差壓風速組合 行業應用 漆包線工廠煙囪量測解決方案
eyc-tech AFMS-160+PHM33差壓風速組合
行業應用 漆包線工廠煙囪量測解決方案
背景介紹
客戶為全球微細漆包線和超細漆包線領域的高端製造商,依據IEC 60317, NEMA MW1000, JIS C3202等相關工業標準,或客制特殊需求而生產漆包線,所供應產品被應用於如變壓器和電機等多種電氣產品中產生電磁場;其他特殊用途,如自粘線或漆包鋁線製造音圈、用漆包黃銅線生產的噴射閥等。
製作漆包線時會產生VOCS,製作過程中需控制溫度以及風速,因此需搭配差壓風速傳送器來監測生產時的烘乾風速以及廢氣排除以符合法規條件。
漆包線工序主要由:放線、退火、塗漆、烘焙、冷卻和收線工序組成。其生產工藝流程見圖(如下):

解決方案
漆包線的制程中容易排放VOCs及異味,工廠常以熱焚化等設備進行處理,以600 ... 800℃之直接焚化去;或以200 ... 400℃催化氧化脫除,各個工藝環節的工況條件不同以及安全性,工廠須採取不同的解決方案。
|
內容 |
項目 |
執行標準 |
最高允許排放濃度
(mg/m3)
|
||
|
廢氣 |
漆包車間排氣筒 |
甲苯 |
《大氣污染綜合排放標準》(GB16297-1996)表2二級標準 |
17米的排氣筒 |
40 |
|
二甲苯 |
70 | ||||
以客戶為例,其在煙道佈設和採樣位置不滿足GB/T 16157-1996《固定污染源排氣中顆粒物測定與氣態污染物採樣方法》條件,因此需要用更適合現場工藝的儀錶。例如為通風管道、 煙道工業、廢氣排除 、環保工程及特別是高溫和煙囪環境測試中多粉塵空氣和高流速的風速量測處理過程等相似環境的解決方案。
在這個案例中,客戶工廠煙囪上已有安裝传感器的儀錶,但需在不同位置安裝流速儀以達到更精准的比對合格率;評估後可使用S型皮託管搭配差壓量測風速及風量。
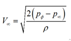
S型皮託管由2根金屬管並聯組成,測量端口有2個方向相反開口,面向氣流的開口測得壓力是全壓,背向的壓力因測頭結構影响小於實際靜壓。但其正、反方向修正係數相差應不>0.01,測壓孔開口較大,不易被顆粒物堵塞,且便於在厚壁煙道中使用。由於排氣的流速與其動壓平方根成正比,根據測得某測點處的動壓、靜壓以及溫度等參數,我們由此計算出排氣流速:

使用標準件來監測安全性這樣做不僅可使排煙暢通,更可達到更符合當地的環保要求以及安全性,不受外界環境溫、濕度的干擾,避免熱量損失,保持靈敏度快,所以我們給客戶推薦解決方案eyc-tech AFMS-160 S型皮託管和eyc-tech PHM33工業級微差壓傳送器來控制和監測,達到雙重的保證和確認。
產品優勢
AFMS-160 S型皮託管,專門設計用於量測煙囪與環境中氣體流體的流量速度,可防止在惡劣的煙灰條件下堵塞,進而快速反應處理排煙排污程序。使用皮託管量測管道內的氣流速度,經過換算來確定流量與速度,使用方便與準確,是一種廣泛的量測方法,並且可用來量測流體的壓力。耐高溫,抗腐蝕,耐粉塵,防堵塞快速轉換流速流量,操作壓力 : 最大 10 bar;溫度 : 操作 : 最大 250 ℃ ; 耐溫 : 800℃。
採用AFMS-160 S型皮託管測量出動壓值(動壓為總壓減去靜壓,即Pd=Pt-Ps),可由伯努利方程,計算出管道內流量和流速
PHM33工業級微差壓傳送器差壓的感測元件是將矽晶片設計在MEMS的熱線式風速計架構上,具有非常優異的零點穩定性及微小差壓偵測能力,耐壓力大;傳送器是運用壓力差將極微量的氣體, 使其流過於感測器本體的氣流通道上,並結合積體電路轉換為差壓訊號,可選配RS-485通訊介面,MODBUS RTU通訊協定。
配合使用PHM33工業級微差壓傳送器以測量流體的流量,還可用來測量液位(如差壓式液位計)以及管道、塔設備等的阻力(即兩點的壓力降)等來計算出精確數值。物理量單位切換:mbar / Pa / hPa / kPa / mmH2O / mmWS / inH2O / mmHg,具有開根號功能(風速量測),則可以量測管道中氣流的動壓(Δ P)並計算風速與風量及溫度(也可以使用AFMT平均風速測管(皮托管)搭配PHM差壓傳送器做廢氣排除控制和監測)。
施工現場圖